v1.35.0 Benchmark

| minikube version: v1.35.0 | kind v0.26.0 go1.23.4 linux/amd64 | k3d version v5.7.5 | |
|---|---|---|---|
| Command Exec | 21.052 | 13.330 | 13.002 |
| API Server Answering | 0.052 | 0.056 | 0.051 |
| Kubernetes SVC | 0.047 | 0.051 | 0.044 |
| DNS SVC | 0.047 | 0.047 | 0.044 |
| App Running | 6.554 | 17.801 | 9.792 |
| DNS Answering | 26.261 | 0.606 | 3.637 |
| Total | 54.012 | 31.892 | 26.570 |

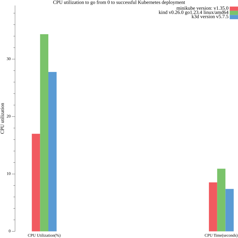
| minikube version: v1.35.0 | kind v0.26.0 go1.23.4 linux/amd64 | k3d version v5.7.5 | |
|---|---|---|---|
| CPU Utilization(%) | 17.000 | 34.348 | 27.770 |
| CPU Time(seconds) | 8.531 | 10.916 | 7.392 |
Feedback
Was this page helpful?
Glad to hear it! Please tell us how we can improve.
Sorry to hear that. Please tell us how we can improve.