v1.30.0 Benchmark

| minikube version: v1.30.0 | kind v0.18.0 go1.20.2 linux/amd64 | k3d version v5.4.9 | |
|---|---|---|---|
| Command Exec | 31.374 | 24.662 | 16.471 |
| API Server Answering | 0.106 | 0.128 | 0.135 |
| Kubernetes SVC | 0.094 | 0.096 | 0.130 |
| DNS SVC | 0.093 | 0.096 | 0.131 |
| App Running | 15.832 | 23.488 | 15.179 |
| DNS Answering | 3.760 | 1.709 | 3.302 |
| Total | 51.258 | 50.179 | 35.348 |

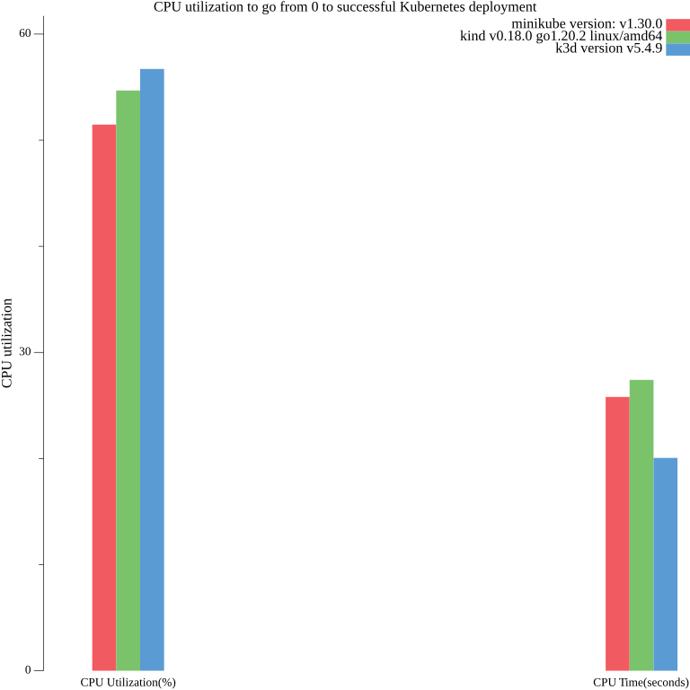
| minikube version: v1.30.0 | kind v0.18.0 go1.20.2 linux/amd64 | k3d version v5.4.9 | |
|---|---|---|---|
| CPU Utilization(%) | 51.466 | 54.680 | 56.710 |
| CPU Time(seconds) | 25.801 | 27.410 | 20.058 |
Feedback
Was this page helpful?
Glad to hear it! Please tell us how we can improve.
Sorry to hear that. Please tell us how we can improve.